Юридический журнал


 

РОССИЙСКАЯ ФЕДЕРАЦИЯ

ФЕДЕРАЛЬНЫЙ ЗАКОН

 

О ВНЕСЕНИИ ИЗМЕНЕНИЙ

В СТАТЬЮ 6 ФЕДЕРАЛЬНОГО ЗАКОНА "О ПОТРЕБИТЕЛЬСКОМ

КРЕДИТЕ (ЗАЙМЕ)"

 

 

Принят Государственной Думой 4 июля 2014 года

Одобрен Советом Федерации 9 июля 2014 года

 

 

Статья 1

 

Внести в статью 6 Федерального закона от 21 декабря 2013 года № 353-ФЗ "О потребительском кредите (займе)" (Собрание законодательства Российской Федерации, 2013, № 51, ст. 6673) следующие изменения:

1) часть 2 изложить в следующей редакции:

"2. Полная стоимость потребительского кредита (займа) определяется в процентах годовых по формуле:

 

ПСК = i x ЧБП x 100,

 

где ПСК - полная стоимость кредита в процентах годовых с точностью до третьего знака после запятой;

ЧБП - число базовых периодов в календарном году. Продолжительность календарного года признается равной тремстам шестидесяти пяти дням;

i - процентная ставка базового периода, выраженная в десятичной форме.";

2) дополнить частью 2.1 следующего содержания:

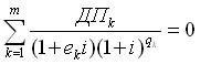
"2.1. Процентная ставка базового периода определяется как наименьшее положительное решение уравнения:

 

  ,

 

где ДПk - сумма k-го денежного потока (платежа) по договору потребительского кредита (займа). Разнонаправленные денежные потоки (платежи) (приток и отток денежных средств) включаются в расчет с противоположными математическими знаками - предоставление заемщику кредита на дату его выдачи включается в расчет со знаком "минус", возврат заемщиком кредита, уплата процентов по кредиту включаются в расчет со знаком "плюс";

qk - количество полных базовых периодов с момента выдачи кредита до даты k-го денежного потока (платежа);

ek - срок, выраженный в долях базового периода, с момента завершения qk -го базового периода до даты k-го денежного потока;

m - количество денежных потоков (платежей);

i - процентная ставка базового периода, выраженная в десятичной форме.";

3) дополнить частью 2.2 следующего содержания:

"2.2. Базовым периодом по договору потребительского кредита (займа) признается стандартный временной интервал, который встречается с наибольшей частотой в графике платежей по договору потребительского кредита (займа). Если в графике платежей по договору потребительского кредита (займа) отсутствуют временные интервалы между платежами продолжительностью менее одного года или равные одному году, базовым периодом признается один год. Для договоров потребительского кредита (займа) с лимитом кредитования используется порядок расчета полной стоимости кредита (займа), установленный частью 7 настоящей статьи. Если два и более временных интервала встречаются в графике платежей по договору потребительского кредита (займа) более одного раза с равной наибольшей частотой, наименьший из этих интервалов признается базовым периодом. Если в графике платежей по договору потребительского кредита (займа) отсутствуют повторяющиеся временные интервалы и иной порядок не установлен Банком России, базовым периодом признается временной интервал, который является средним арифметическим для всех периодов, округленным с точностью до стандартного временного интервала. Стандартным временным интервалом признаются день, месяц, год, а также определенное количество дней или месяцев, не превышающее по продолжительности одного года. Для целей расчета полной стоимости кредита продолжительность всех месяцев признается равной.".

 

Статья 2

 

1. Настоящий Федеральный закон вступает в силу с 1 сентября 2014 года.

2. В целях расчета среднерыночного значения полной стоимости потребительского кредита (займа) за третий квартал 2014 года, осуществляемого Банком России в соответствии с частью 8 статьи 6 Федерального закона от 21 декабря 2013 года № 353-ФЗ "О потребительском кредите (займе)", подлежат использованию данные о полной стоимости потребительского кредита (займа), полученные Банком России за период со дня вступления в силу настоящего Федерального закона до дня окончания указанного квартала и рассчитанные в порядке, установленном статьей 6 Федерального закона от 21 декабря 2013 года № 353-ФЗ "О потребительском кредите (займе)" (в редакции настоящего Федерального закона).

 

Президент

Российской Федерации

В.Путин

Москва, Кремль

21 июля 2014 года

№ 229-ФЗ

 


О проектеСтатьиСборники нормативных правовых актовNOTA BENEЗаконы РФРешения Конституционного Суда РФ


Указы Президента РФНормативные акты Правительства РФПостановления Пленума Верховного Суда РФКонтакты


Copyright © 2004-2014 «Юридический журнал»

 

Рейтинг@Mail.ru Rambler's Top100